| عنوان فارسی |
الگوریتم ژنتیک ترکیبی جدید برای زمانبندی مشکل کار فروشگاه |
| عنوان انگلیسی |
A new hybrid genetic algorithm for job shop scheduling problem |
| کلمات کلیدی |
الگوریتم ژنتیک، مشکل زمانبندی کار فروشگاه، اپراتور متقاطع، اپراتور موقت، جستجوی محلی |
| درسهای مرتبط |
کنترل خطی |
| تعداد صفحات انگلیسی : ۹ | نشریه : Elsevier |
| سال انتشار : ۲۰۱۱ | تعداد رفرنس مقاله : ۳۵ |
| فرمت مقاله انگلیسی : PDF | نوع مقاله : ISI |
| آیا این مقاله برای بیس پایان نامه مناسب است؟ : بله | آیا این مقاله برای ارائه کلاسی مناسب است؟ : بله |
| برنامه ای که در آن مقاله شبیه سازی شده است : Matlab | نام مجله مقاله : Computers & Operations Research |
| ترجمه: ندارد | گزارشکار : دارد | شبیه سازی : متلب |
این مقاله در محیط متلب به صورت کامل شبیه سازی شده و در صورت خرید و دانلود مقاله شما به راحتی قادر خواهید بود از برنامه مربوطه استفاده نمایید. در صورت بروز هر گونه مشکل در نحوه ی اجرای برنامه سایت سیگمالند به مدت 24 ساعت بعد از خرید محصول، پشتیبانی آن را تا اجرای کامل برعهده دارد.
برنامه ریزی زمان کار کردن یکی از مهمترین مسائل در برنامه ریزی و مدیریت فرایندهای تولید است. دشواری یافتن برنامه بهینه بستگی به محیط فروشگاه، محدودیت های فرایند و شاخص عملکرد دارد. یکی از سخت ترین مشکلات در این زمینه، مسئله برنامه ریزی کار (JSSP) است که ثابت شده است که یک مشکل NP کامل است.
مشکل زمانبندی کار یک مشکل معمول NP-hard است. برای حل مشکل زمانبندی کار در فروشگاه به صورت موثرتر، الگوریتم ژنتیک در این مقاله ارائه شده است. به منظور افزایش تنوع جمعیت، اپراتور انتخاب مخلوط بر اساس ارزش تناسب و ارزش تمرکز داده شد. برای استفاده کامل از ویژگی های خود مشکل، اپراتور جدید متقاطع بر اساس دستگاه و اپراتور جهش بر اساس مسیر بحرانی به طور خاص طراحی شده است.
برای پیدا کردن مسیر بحرانی، یک الگوریتم جدید برای یافتن مسیر بحرانی از برنامه ارائه شده است. علاوه بر این، یک اپراتور جستجو محلی طراحی شده است، که می تواند به شدت قابلیت جستجوی محلی الگوریتم ژنتیک را بهبود بخشد. بر اساس آن، یک الگوریتم ژنتیک ترکیبی پیشنهاد شد و همگرایی آن ثابت شد است. شبیه سازی کامپیوتری بر روی یک مجموعه از مشکلات معیاری انجام شد و نتایج نشان دهنده اثربخشی الگوریتم پیشنهاد شده است.
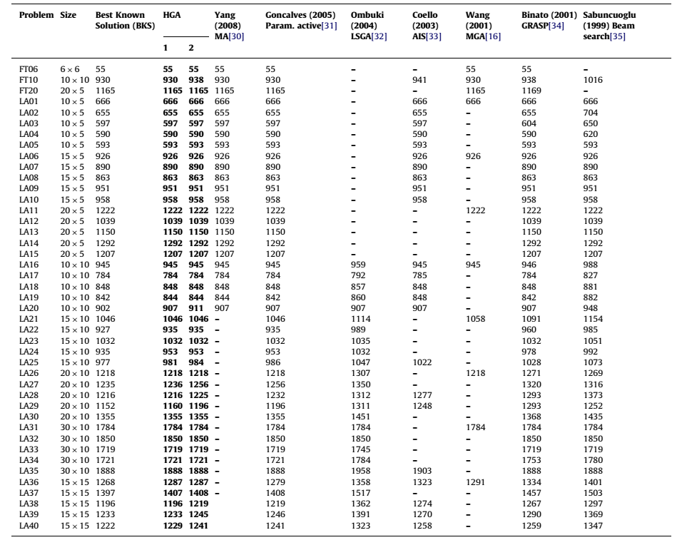
بخشی از نتایج حاصل از شبیه سازی در نرم افزار متلب به صورت جدول در ادامه نشان داده شده است.

برنامه ریزی کار فروشگاه
دیدگاهها
هیچ دیدگاهی برای این محصول نوشته نشده است.