دانلود شبیه سازی مقاله بهره برداری از شبکه توزیع با مکانیابی و اندازه یابی بهینه DG
| عنوان فارسی |
بهره برداری از شبکه توزیع با مکانیابی و اندازه یابی بهینه DG های قابل توزیع و خازن های شنت |
| عنوان انگلیسی |
Operation of distribution network with optimal placement and sizing of dispatchable DGs and shunt capacitors |
| کلمات کلیدی |
تولید پراکنده؛ خازن شنت؛ الگوریتم ژنتیک |
| درسهای مرتبط |
تولید پراکنده؛ جایابی بهینه |
| تعداد صفحات انگلیسی : 12 | نشریه : ELSEVIER |
| سال انتشار : 2019 | تعداد رفرنس مقاله : 56 |
| فرمت مقاله انگلیسی : PDF | نوع مقاله : ISI |
| آیا این مقاله برای بیس پایان نامه مناسب است؟ : بله | آیا این مقاله برای ارائه کلاسی مناسب است؟ : بله |
| برنامه ای که در آن مقاله شبیه سازی شده است : این مقاله در محیط متلب پیاده سازی شده است | نام مجله مقاله : Renewable and Sustainable Energy Reviews (مجله انرژی پایدار و تجدیدپذیر) |
| ترجمه: ندارد | گزارشکار : دارد (این محصول دارای یک گزارشکار کامل 23 صفحه ای به صورت WORD و PDF شامل توضیحات مربوط به کدنویسی و نتایج خروجی شبیه سازی می باشد) | شبیه سازی : دارد (8 فایل شبیه سازی در متلب با فرمت .m) |
این مقاله در محیط متلب به صورت کامل شبیه سازی شده و در صورت خرید و دانلود مقاله شما به راحتی قادر خواهید بود از برنامه مربوطه استفاده نمایید. در صورت بروز هر گونه مشکل در نحوه ی اجرای برنامه سایت سیگمالند به مدت 24 ساعت بعد از خرید محصول، پشتیبانی آن را تا اجرای کامل برعهده دارد.
پروژه متلب مکانیابی بهینه تولید پراکنده
امروزه، تولید پراکنده (DG)، بخاطر چندین مزیتش، مانند بهبود پروفایل ولتاژ، کاهش تلفات توان با افزایش قابلیت اطمینان و امنیت، به یک گزینه بسیار جذاب برای انتگراسیون (نفوذ) در سیستم های توزیع توان تبدیل شده است. DG ها می توانند از ولتاژ سیستم پشتیبانی کنند، تلفات سیستم را کاهش دهند، قابلیت اطمینان و امنیت سیستم را بهبود دهند، ازدحام توزیع را برطرف کنند و نیاز به ارتقای سیستم را به تعویق بیاندازند.
ویژگی های اصلی این پروژه از این قرارند:
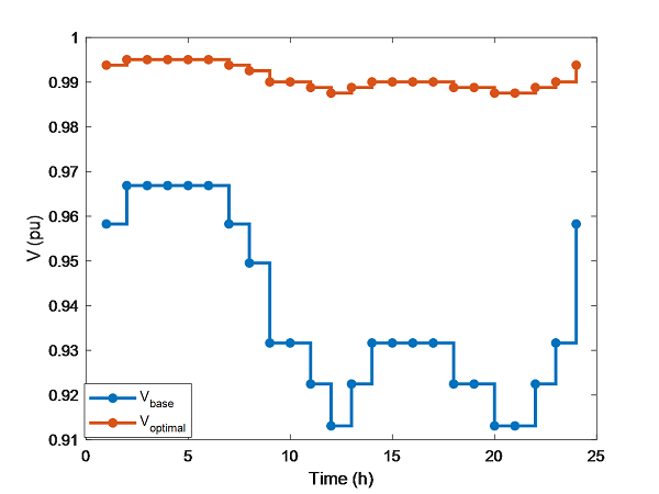
- عملکرد پایدار شبکه توزیع با کمینه سازی تلفات توان، بهبود پروفایل ولتاژ و کشیدن توان ناچیز از شبکه.
- کمینه سازی تلفات انرژی سالانه و در نتیجه بیشینه سازی صرفه جویی انرژی سالانه.
- کل توان بارها و تلفات بوسیله DG های قابل دیسپاچ و خازن های شنت، تامین می شود.
- تحلیل حساسیت براساس شاخص پایداری ولتاژ برای یافتن مکان بهینه واحدهای DG قابل دیسپاچ و بانک های خازنی شنت، در نظر گرفته می شود.
- جنبه های اقتصادی عملکرد پایدار پیشنهادی شبکه توزیع با کمک تحلیل سود-زیان، مورد بررسی قرار می گیرند.
انگیزه اصلی این مقاله، رسیدن به عملکرد پایدار شبکه توزیع با استفاده از ترکیبی از DG های دارای ضریب توان واحد و خازن های شنت، می باشد. DG هایی که در ضریب توان واحد و خازن های شنت کار می کنند برای تامین بارهای توان اکتیو و راکتیو همراه با تلفات اکتیو و راکتیو، بهینه سازی شده اند. در عین حال، DG هایی که در ضریب توان پس فاز کار می کنند (بدون خازن شنت) نیز برای رسیدن به همین هدف مدنظر قرار گرفته اند. بر کمینه سازی تلفات توان حقیقی و راکتیو، بهبود پروفایل ولتاژ و جریان فیدر ناچیز کشیده شده از شبکه اصلی، تاکید صورت می گیرد. همه این شرایط مشروط به قیدهای ظرفیت ولتاژ و جریان شاخه در محدوده های معین، برآورده می شوند.
این شبیه سازی در محیط نرم افزار متلب (MATLAB) انجام شده و نتایج خروجی نیز کاملا منطبق با مقاله می باشد. در ادامه می توانید تعدادی از تصاویر مربوط به خروجی های شبیه سازی را مشاهده نمایید. همچنین این محصول دارای گزارشکار مربوط به توضیحات شبیه سازی می باشد.

این پروژه، مکان یابی و اندازه یابی واحدهای DG برپایه زیست توده و خازن های شنت در شبکه توزیع با ملاحظه توان ناچیز کشیده شده از شبکه، را توضیح می دهد. یک برنامه زمانی بار روزانه میانگین برای مطالعه موفق هدف بالا، مدل سازی شده است. تحلیل حساسیت براساس شاخص پایداری ولتاژ برای مکان یابی واحدهای DG و خازن های شنت، مورد استفاده قرار گرفته است. اندازه یابی واحدهای DG و خازن های شنت با بهینه سازی یک تابع هدف درجه دوم با استفاده از الگوریتم ژنتیک، بدست آمده است. دو مطالعه موردی با استفاده از واحدهای DG و بانک های خازن شنت برای مطالعه هدف ذکر شده، مورد ملاحظه قرار گرفته اند. تحت هر کدام از این مطالعات موردی، سه پیکربندی برای تحلیل جنبه های فنی و اقتصادی مسئله، ایجاد شد. مزایای اقتصادی و هزینه ای همه پیکربندی ها در هر مطالعه موردی، ارزیابی شده اند. روش پیشنهادی با روش های قبلاً بیان شده در مجموعه مقالات مقایسه شد و مشاهده شد که نتایج اثربخشی روش پیشنهادی در کشیدن توان ناچیز از شبکه را نشان می دهند. پارامترهای عملکردی شبکه از نظر بهبود پروفایل ولتاژ، کاهش تلفات توان حقیقی و کاهش جریان فیدر پست برق کشیده شده توسط ریزشبکه، بهبود قابل توجهی پیدا کردند.



دیدگاهها
هیچ دیدگاهی برای این محصول نوشته نشده است.