| عنوان فارسی |
جبرانسازی بتا (ثابت فاز) برای مشخصه ولتاژی تخت در یک خط انتقال |
| عنوان انگلیسی |
Beta (phase constant) compensation for flat voltage profile in a transmission line |
| کلمات کلیدی |
جبرانسازی بتا؛ مشخصه ولتاژی تخت؛ شاخص صافی؛ بارگذاری امپدانس موجی؛ جبرانسازی توان راکتیو |
| درسهای مرتبط |
کنترل توان راکتیو |
| تعداد صفحات انگلیسی : 7 | نشریه : ELSEVIER |
| سال انتشار : 2013 | تعداد رفرنس مقاله : 7 |
| فرمت مقاله انگلیسی : PDF | نوع مقاله : ISI |
| آیا این مقاله برای بیس پایان نامه مناسب است؟ : بله | آیا این مقاله برای ارائه کلاسی مناسب است؟ : بله |
| برنامه ای که در آن مقاله شبیه سازی شده است : این مقاله در محیط متلب پیاده سازی شده است | نام مجله مقاله : Electric Power Systems Research (تحقیقات سیستم های قدرت) |
| ترجمه: دارد (ترجمه 15 صفحه ای در قالب WORD و PDF) | گزارشکار : ندارد | شبیه سازی : دارد (4 فایل شبیه سازی در متلب با فرمت .m) |
این مقاله در محیط متلب به صورت کامل شبیه سازی شده و در صورت خرید و دانلود مقاله شما به راحتی قادر خواهید بود از برنامه مربوطه استفاده نمایید. در صورت بروز هر گونه مشکل در نحوه ی اجرای برنامه سایت سیگمالند به مدت 24 ساعت بعد از خرید محصول، پشتیبانی آن را تا اجرای کامل برعهده دارد.
رشد اقتصادی هر کشور به دسترسی به برق با کیفیت بستگی دارد و این یکی از ضابطه ها برای ثابت نگه داشتن ولتاژ در کل خط و هموار نگه داشتن آن می باشد. ممکن است همیشه نیروگاه های عمده و بزرگ نزدیک به مراکز بار نباشند و این شرایط، انتقال قدرت به فواصل طولانی را ملزم می کنند. انتقال انبوه قدرت به فواصل دور، ممکن و اقتصادی است اگر در ولتاژهای بالاتر (EHV و UHV)، این انتقال صورت گیرد. یکی از الزامات اساسی برای انتقال انبوه برق، این است که ولتآژ نزدیک به مقدار اسمی نگه داشته شود و تغییرات ولتاژ برروی خط در محدوده های مجاز باشد. این امر زمانی مهمتر می شود که انتقال در ولتاژهای بالاتر، بخصوص برای حفظ تنش برروی مقره ها در کمتر از مقدار اسمی، صورت گیرد. یکی از نگرانی های اصلی هنگام انتقال قدرت در ولتاژهای بالا، افزایش غیرمجاز ولتاژ در راستای خط در شرایط بی باری یا بار کم می باشد. جبرانسازی توان راکتیو، پشتیبانی ولتاژ را فراهم می کند و نوسانات ولتاژ را در یک ترمینال معین از یک خط انتقال، کاهش می دهد. همچنین این امر، پایداری سیستم را با افزایش حداکثر توان اکتیو قابل انتقال، بهبود می دهد. علاوه بر آن، تقریباً یک نمودار ولتآژ تخت و هموار در راستای خط انتقال را حاصل می کند. اگر یک خط بدون اتلاف در بارگذاری امپدانس صاعقه (surge) خود کار کند، یک نمودار ولتآژ تخت از خود نشان می دهد. این موضوع به تفصیل در زمینه کنترل امپدانس صاعقه خط بوسیله جبرانسازی شنت جهت برابر نگه داشتن همیشگی بار امپدانس صاعقه برابر با بار واقعی، به بحث گذاشته شده است. در این مقاله، برای پیاده سازی مفهوم مشابه به روشی متفاوت با روشی برای تعیین مقادیر جبرانساز لازم، یک روش «جبرانسازی بتا» (BC)، پیشنهاد شده است. این روش نیاز به یک جبرانسازی دینامیک دارد و با استفاده از ادوات FACTS مناسب، قابل اجرا می باشد.
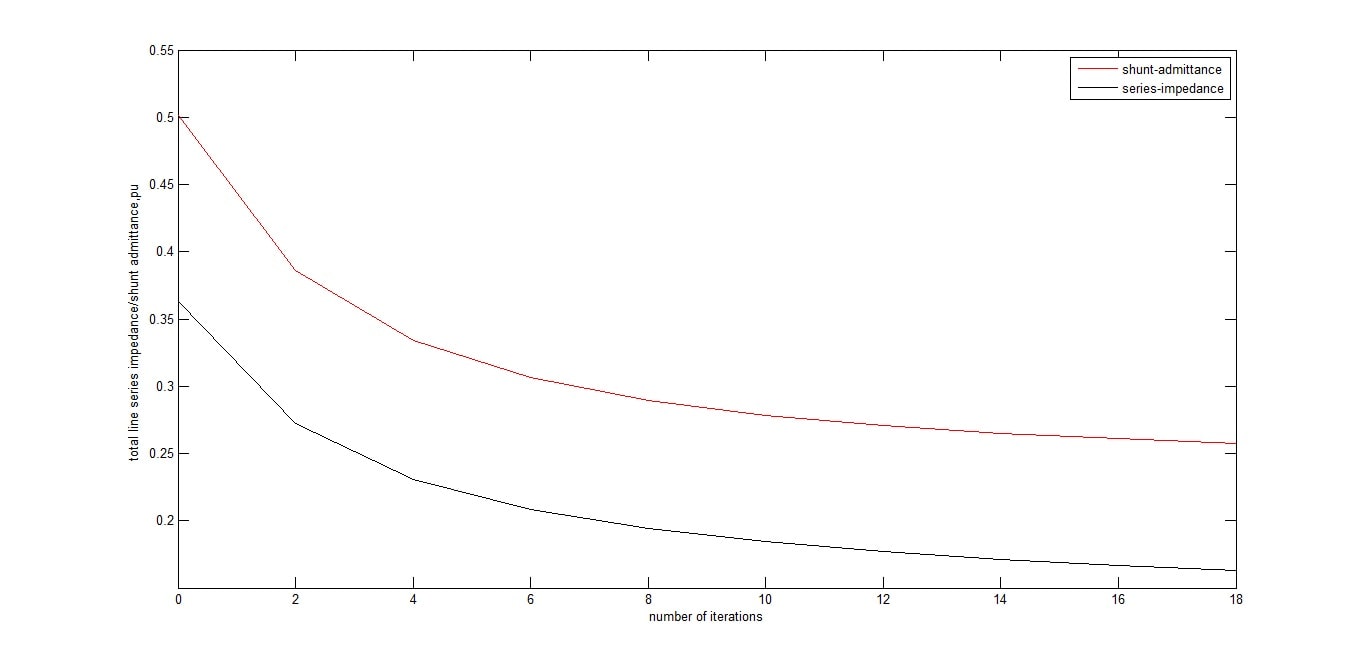
این شبیه سازی در محیط نرم افزار متلب (MATLAB) انجام شده و در ادامه نیز تعدادی از نتایج مربوط به خروجی های شبیه سازی قرار داده شده است:

در این پروژه، روش جدید جبرانسازی توان راکتیو، به نام روش «جبرانسازی بتا»، همراه با مطالعات موردی مناسب و نتایج تحلیل شده، توضیح داده می شود. این روش، ابزاری برای برآورد مقدار جبرانسازی لازم برای بدست آوردن نمودار ولتاژ تخت برروی خط انتقال، فراهم می کند. ترکیبی از هر دوی جبرانسازی شنت و سری برای بهره برداری از خط در نمودار ولتاژ تخت، لازم است. رابطه بین «شاخص تخت بودن» پیشنهاد شده و جبرانسازی ارائه شده نیز، ارائه می شود. انتقال توان اکتیو با (ثابت فاز) بتای خط انتقال، به عنوان متغیر کنترلی، کنترل می شود.
دیدگاهها
هیچ دیدگاهی برای این محصول نوشته نشده است.