دانلود شبیه سازی مقاله بررسی عملکرد موتورهای القایی تحت شرایط ولتاژ نامتعادل
| عنوان فارسی |
بررسی عملکرد موتورهای القایی تحت شرایط ولتاژ نامتعادل (اضافه ولتاژ و ولتاژ کم) |
| عنوان انگلیسی |
Derating of induction motors operating with a combination of unbalanced voltages and over or undervoltages |
| کلمات کلیدی |
مدار معادل؛ توالی منفی؛ توالی مثبت؛ تامین توان نامتعادل |
| درسهای مرتبط |
ماشین های الکتریکی |
| تعداد صفحات انگلیسی : 7 | نشریه : IEEE |
| سال انتشار : 2002 | تعداد رفرنس مقاله : 13 |
| فرمت مقاله انگلیسی : PDF | نوع مقاله : ISI |
| آیا این مقاله برای بیس پایان نامه مناسب است؟ : بله | آیا این مقاله برای ارائه کلاسی مناسب است؟ : بله (این محصول دارای پاورپوینت 38 اسلایدی برای ارائه کلاسی هست) |
| برنامه ای که در آن مقاله شبیه سازی شده است : این مقاله در محیط متلب پیاده سازی شده است | نام مجله مقاله : IEEE Transactions on Energy Conversion (مجله تبدیل انرژی) |
| ترجمه: ندارد | گزارشکار : دارد (توضیحات مربوط به شبیه سازی و همچنین تصاویر مربوط به خروجی شبیه سازی، در یک فایل پاورپوینت 38 اسلایدی ارائه شده است + 4 مقاله انگلیسی مرتبط با پروژه) | شبیه سازی : دارد (4 فایل متلب با فرمت .m و یک فایل سیمولینک با فرمت .mdl) |
این مقاله در محیط متلب به صورت کامل شبیه سازی شده و در صورت خرید و دانلود مقاله شما به راحتی قادر خواهید بود از برنامه مربوطه استفاده نمایید. در صورت بروز هر گونه مشکل در نحوه ی اجرای برنامه سایت سیگمالند به مدت 24 ساعت بعد از خرید محصول، پشتیبانی آن را تا اجرای کامل برعهده دارد.
عملکرد موتور القایی با ولتاژ نامتعادل
کاربرد صحیح موتورهای القایی در سیستم قدرت برای برآورده کردن تقاضای بار موضوع شدیداً مورد توجه تحقیقاتی بوده است. اکثریت موتورهای صنعتی در ایالات متحده برای کار برروی ولتاژ 460 ولت طراحی شده اند، اما سیستم توزیع شرکت برق برای 480 ولت طراحی شده است. در اینجا منطق آن است که افت ولتاژ کابل ولتاژ مناسب 460 ولت را در ترمینال های موتور ممکن می سازد. اندازه گیری ها نشان داده اند که علیرغم وجود افت ولتاژ در کابل، ولتاژهای ترمینال موتور به میزان قابل توجهی در سیستم های صنعتی بیشتر از 460 ولت است، درحالی که ممکن است درست پایین تر از ولتاژ اسمی ممکن باشد هنگامی که سیستم در سیستم های تجاری یا صنعتی ضعیف، شدیداً تحت بار قرار گیرد. علاوه بر مسائل اضافه ولتاژ یا کمبود ولتاژ که در سیستم قدرت وجود دارند، تامین، هرگز کاملاً متوازن نبوده است. معمولاً، سطح عدم تعادل به اندازه کافی کم است تا بر عملکرد موتورها تاثیر معکوس و مضر نگذارد، اما مواقعی پیش می آید که سطح عدم تعادل باید در کاربرد صحیح ماشین مدنظر قرار گیرد. در NEMA با استفاده از تعریفی از عدم تعادل به این مسئله پرداخته شده که این تعریف با آنچه که در جامعه برق استفاده می شود، متفاوت است. علاوه بر آن، در مورد عدم تعادل فرض می شود که مقدار میانگین ولتاژ 460 ولت است وضعیتی که به ندرت در عمل رخ می دهد. بنابراین هدف این پروژه این است که به مسئله کاربرد صحیح ماشین های القایی در حضور ترکیبی از ولتاژهای نامتوازن و اضافه یا کمبود ولتاژ، پرداخته شود.
این پروژه، کاربرد صحیح موتورهای القایی تامین شده با ولتاژهای نامتعادل در حضور کمبود و اضافه ولتاژ را مورد بررسی قرار می دهد. تفاوت ها در تعریف عدم تعادل ولتاژ نیز بررسی شده است. رویکرد بکار گرفته شده استفاده از «غیراسمی سازی» (derating) NEMA برای ولتاژهای نامتعادل به عنوان مبنایی است تا اثرات کمبود ولتاژ و اضافه ولتاژ از طریق محاسبات تلفات موتور، شامل شود.
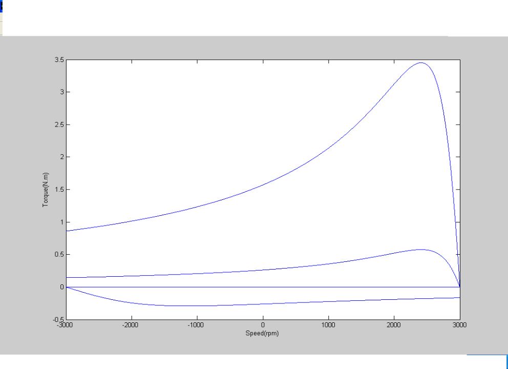
این شبیه سازی با استفاده از نرم افزار متلب (MATLAB) انجام شده و در ادامه نیز تصویری از خروجی شبیه سازی قرار داده شده است. لازم به ذکر است که توضیحات مربوط به شبیه سازی نیز در قالب یک فایل گزارشکار ارائه می گردد.














دیدگاهها
هیچ دیدگاهی برای این محصول نوشته نشده است.