دانلود شبیه سازی مقاله پروتکل مسیریابی با انرژی کارآمد در شبکه حسگر بیسیم بدن
| عنوان فارسی |
RE-ATTEMPT: یک پروتکل جدید مسیریابی با انرژی کارآمد در شبکه های حسگر بیسیم ناحیه بدن |
| عنوان انگلیسی |
RE-ATTEMPT: A New Energy-Efficient Routing Protocol for Wireless Body Area Sensor Networks |
| کلمات کلیدی |
سیستم های مراقبت از سلامت؛ شبکه های حسگر بیسیم ناحیه بدن (WBASN)؛ پروتکل های مسیریابی |
| درسهای مرتبط |
شبکه های حسگر بی سیم |
| تعداد صفحات انگلیسی : 9 | نشریه : SAGE |
| سال انتشار : 2014 | تعداد رفرنس مقاله : 24 |
| فرمت مقاله انگلیسی : PDF | نوع مقاله : ISI |
| آیا این مقاله برای بیس پایان نامه مناسب است؟ : بله | آیا این مقاله برای ارائه کلاسی مناسب است؟ : بله |
| برنامه ای که در آن مقاله شبیه سازی شده است : این مقاله در محیط متلب پیاده سازی شده است | نام مجله مقاله : International Journal of Distributed Sensor Networks (مجله بین المللی شبکه های حسگر پراکنده) |
| ترجمه: ندارد | گزارشکار : فایل ویدئویی 22 دقیقه ای که به توضیحات کامل در مورد شبیه سازی می پردازد | شبیه سازی : دارد (فایل های شبیه سازی در متلب با فرمت .m) |
این مقاله در محیط متلب به صورت کامل شبیه سازی شده و در صورت خرید و دانلود مقاله شما به راحتی قادر خواهید بود از برنامه مربوطه استفاده نمایید. در صورت بروز هر گونه مشکل در نحوه ی اجرای برنامه سایت سیگمالند به مدت 24 ساعت بعد از خرید محصول، پشتیبانی آن را تا اجرای کامل برعهده دارد.
پروتکل های مسیریابی در WBASN
WBASN، نوع خاصی از «شبکه حسگر بی سیم» (WSN) است که معمولاً مرتبط با بدن انسان می باشد. یک مجموعه اندک از حسگرهای بی سیم (گره) برای گردآوری داده های بلادرنگ و ارسال مستقیم یا غیرمستقیم آنها به سینک از طریق گره های رله، مورد استفاده قرار می گیرند. هر گره از فرستنده گیرنده رادیویی، پردازنده و منبع باتری برخوردار است. سینک نیز از منبع باتری گسترده ای برخوردار است، اما گره ها، منابع محدودی دارند. پر استفاده ترین کاربرد WBASN ها، سیستم مراقبت سلامت مدرن است که بیمار را قادر به مورد نظارت قرار گرفتن، تشخیص بیماری و تجویز از راه دور می کند. در حیطه مراقبت سلامت، WBASN ها برای نظارت از بیماران دچار دیابت، دمای بالا، فشار خون زیاد، سکته قلبی و موارد بسیاری دیگر، استفاده می شوند. انتخاب مسیر بین هر دو گره، با انتخاب همسایه ها براساس نوع اطلاعات اشتراک گذاشته شده میان همسایگان مجاور و سپس سراسر شبکه، شروع می شود. کل این سناریو، به قابلیت گره ها بستگی دارد و اهداف عمده مرتبط با این ها، افزایش عمر باتری همراه با تعداد دفعات شارژ مجدد هرچه کمتر، می باشند. پروتکل های مسیریابی غالباً در حفظ عمر مفید گره ها، دخیل می باشند. یکی از مسیرهای خاص با حداقل هزینه انرژی برای انتقال داده ها، باید انتخاب شوند؛ مرتبط با این موضوع، پروتکل های مسیریابی بسیاری پیشنهاد گردیده اند و بسیاری بیشتر لازم است پیشنهاد شوند. در این پروژه، یک پروتکل مسیریابی جدید برای WBASN ها، به نام RE-ATTEMP، ارائه می دهیم. اجرای پروتکل پیشنهادی، در چهار مرحله انجام می شود: ابتدا، گره ها، پیام های HELLO را انتشار می دهند تا جداول مسیریابی خود را آپدیت کنند. سپس، برای ارسال داده ها، یک مسیر مبتنی بر اولویت، انتخاب می شود. سوم، سینک، جهت انتقال داده ها، شیارهای زمانی را به گره ها، اختصاص می دهند. در آخر، ارتباطات با شیارهای زمانی اختصاص داده شده صورت می گیرد، تا این فرآیند تکمیل گردد.
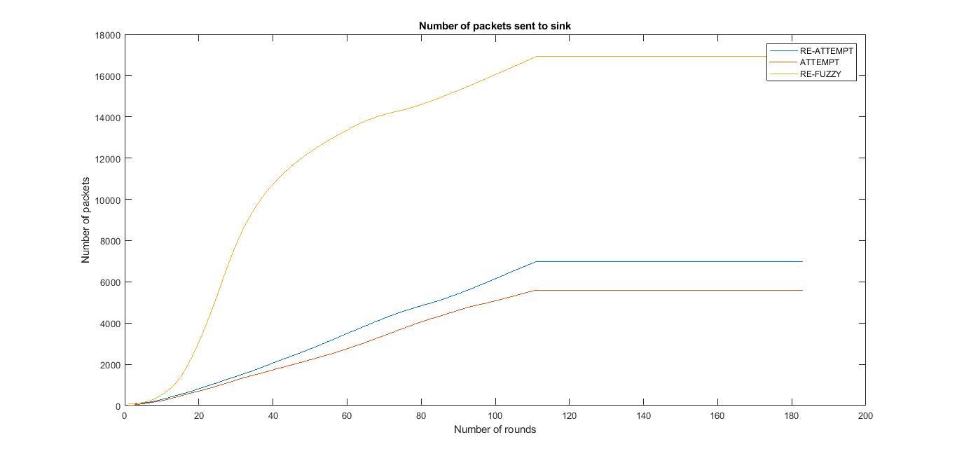
این شبیه سازی با استفاده از نرم افزار متلب (MATLAB) انجام شده و در ادامه نیز تعدادی از نتایج خروجی مربوط به آن قرار داده شده است:







دیدگاهها
هیچ دیدگاهی برای این محصول نوشته نشده است.